谷胱甘肽在炎癥中的作用
谷胱甘肽(GSH)存在于所有哺乳動物組織中,是最豐富的非蛋白質硫醇,可抵御氧化應激。
還原型谷胱甘肽是它的活性形式,在細胞內以毫摩爾濃度范圍為 1–10 mM(肝臟中濃度最高)。GSH 缺乏主要表現為對氧化應激的易感性增加,此外,GSH 水平失衡會影響免疫系統功能,并被認為在衰老過程和衰老疾病中發揮作用。

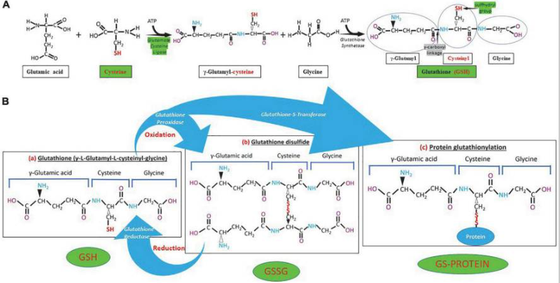
▲谷胱甘肽 (GSH) 的合成、化學結構和不同形式的 GSH。
炎癥與細胞 ROS 過量產生有關,導致細胞成分氧化/損傷、炎癥增強和細胞死亡途徑激活;氧化應激和抗氧化防御能力下降幾乎導致所有疾病的進展。
在大多數疾病中,ROS似乎與炎癥和細胞衰老有直接關系,氧化應激和炎癥會增加與衰老相關的表型,并誘導和加重炎癥反應,形成全身炎癥的慢性狀態。
增強還原型 GSH 將減少與慢性炎癥性疾病,使用不消耗體內 GSH 的療法維持 GSH 水平將是最好的選擇。
對于細胞因子風暴超載的患者,增強免疫系統的最佳方法是為其提供還原型谷胱甘肽,因為還原型谷胱甘肽已經能夠從其硫醇基團中提供還原當量。
GSH 的價值和營養策略,如氨基酸、維生素、礦物質、植物化學物質、增強細胞 Nrf2 的蘿卜硫素,以及用于恢復 GSH 水平的補充劑可作為包括新冠病毒感染在內的所有炎癥性疾病的輔助治療。
外源性補充 GSH 可改善 GSH 缺乏、氧化應激、線粒體功能障礙、炎癥、胰島素抵抗、內皮功能障礙、遺傳毒性、肌肉力量、認知和表面活性劑再生。
我們提供高品質的還原型谷胱甘肽(GSH)、乙酰基谷胱甘肽(SAG)以及氧化型谷胱甘肽(GSSG)原料,產品遠銷歐美、韓國、印度等世界各地,如果您對我們的產品感興趣,請隨時與我們聯系,我們將很樂意提供您需要的任何信息。